Installation of KAPSEL binary

STEP 1: Download "KAPSEL" binary

  • Visit KAPSEL-BBS and Login. Registration is required if you haven't yet completed it.
  • Follow "DOWNLOAD" -> "KAPSEL-2" -> "the latest version" to download appropriate binary package for your system.
    • "kapsel2_linux64.zip" (Linux on x86-64 machine)
    • "kapsel2_win32.zip" (32-bit Windows Vista or XP) recommended!

STEP 2: Run KAPSEL

  • KAPSEL is a command line program which can be started as the following example.
  • Start test run using a sample input UDF "colloid_1.udf", with which one can simulate electrophoresis of a single charged particle in electrolyte solution.
  • for Linux
   > unzip kapsel2_linux64.zip
   > ./kapsel -Icolloid_1.udf -Ooutput.udf -Ddefine_2.00.udf -Rrestart.udf
  • for Windows
    • unzip "kapsel2_win32.zip"
    • open command prompt
   > kapsel -Icolloid_1.udf -Ooutput.udf -Ddefine_2.00.udf -Rrestart.udf
  • If you see the output as shown below, KAPSEL has been successfully installed.
   #using colloid_1.udf as input
   #using output.udf as output
   #using define_2.00.udf as definition
   #using restart.udf as restart
   #
   # Electrolyte eq. selected.
   #
   ...
  • If the program does not properly run or abnormally terminated, build KAPSEL from the source codes. (see this)

STEP 3: Download and install GOURMET

  • GOURMET is a graphic platform developed by OCTA project. The complete OCTA package is not necessary, but GOURMET is needed to use KAPSEL.
  • Visit OCTA-BBS and Login. Registration is required if you haven't yet completed it.
  • For Linux
    • Follow "DOWNLOAD" -> "OCTA2007" -> "GOURMET 4.1.0 (on OCTA2007) for Windows and Linux".
    • download "gourmet_2007_linux.tar.gz"
   > tar zxvf gourmet_2007_linux.tar.gz
   > su
   > mkdir /usr/local/OCTA2007
   > mv GOURMET_2007 /usr/local/OCTA2007/.
   > setenv PF_FILES /usr/local/OCTA2007/GOURMET_2007
   > sh /usr/local/OCTA2007/GOURMET_2007/bin/gourmet.sh
  • Linux version of GOURMET may not work properly on 64-bit Linux.
    java.lang.UnsatisfiedLinkError: 
    /usr/local/OCTA2007/GOURMET_2007/lib/linux/libshaker.so: 
    wrong ELF class: ELFCLASS32
If this happens, do the following, where $version$ is the update version of your JVM installed.
  • Install 32bit JVM (not RPM) in (for example) /usr/local/OCTA2007/java
  • Edit goumet.sh file and change the command "java" to "/usr/local/OCTA2007/java/jre1.6.0_$version$/bin/java -d32
  • For Windows
    • Follow "DOWNLOAD" -> "OCTA2007" -> "Platform GOURMET2007 in OCTA2007 (for Windows)".
    • download "GOURMET2007.exe" and click it.
    • "Start Menu" > "All Programs" > "OCTA2007" > "StartGourmet"

STEP 4: Visualize the result

  • The above test run takes about an hour. Save fileoutput.udf if you cannot wait until it terminates.
  • Animation on GOURMET
    • Save fileparticleshow.py and fileshow_field.py.
    • Start GOURMET
    • "File" -> "Open" -> Open "output.udf".
    • Move down to "Python" panel, and click "Load"
    • Open "particleshow.py" (particle only) or "show_field.py" (particle with flow field, very slow!!).
    • Click "Run"
    • A new window will open, and click the playback button ">" there.
      000.jpg
  • Gnuplot on GOURMET
    • Save fileplot.py.
    • Start GOURMET
    • "File" -> "Open" -> Open "output.udf".
    • Move down to "Python" panel, and click "Load"
    • Open "plot.py", and click "Run"
    • Move up "View" box, and check "Table"
    • Move down-left and select "Graph Sheet[]".
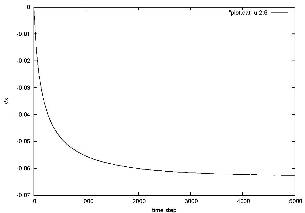
    • Move down to "Plot" panel, and type "plot "plot.dat" using 2:6 title 'vx0' with lines" in the command box.
    • Click "Plot", and you will see the time evoluation of Vx.
      velocity_x.jpg
  • Animation on AVS/Express (optional)
    • One can enjoy much advanced data-visualization with AVS/Express. A sample visualization network fileavs_charge.v is attached.